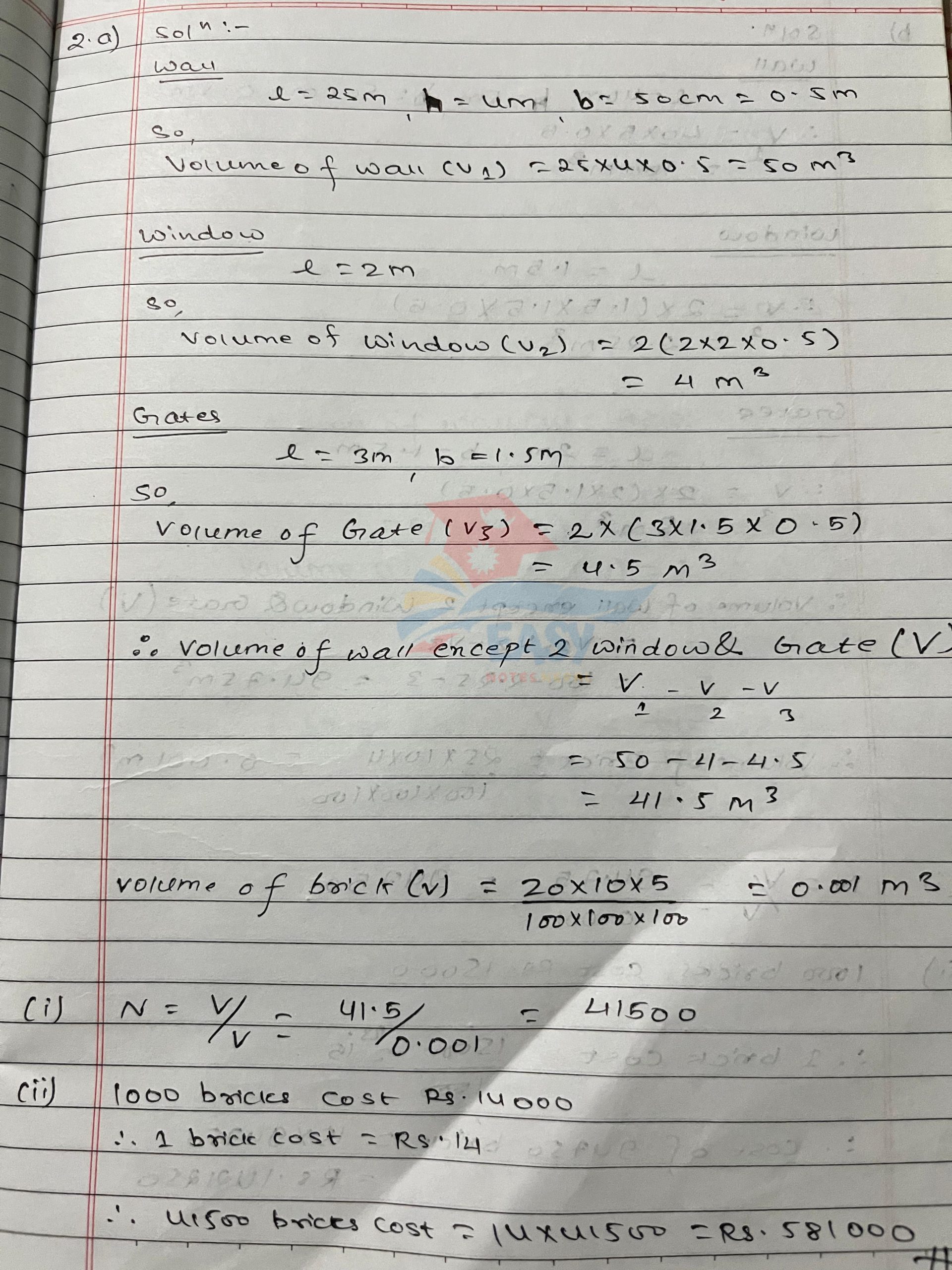
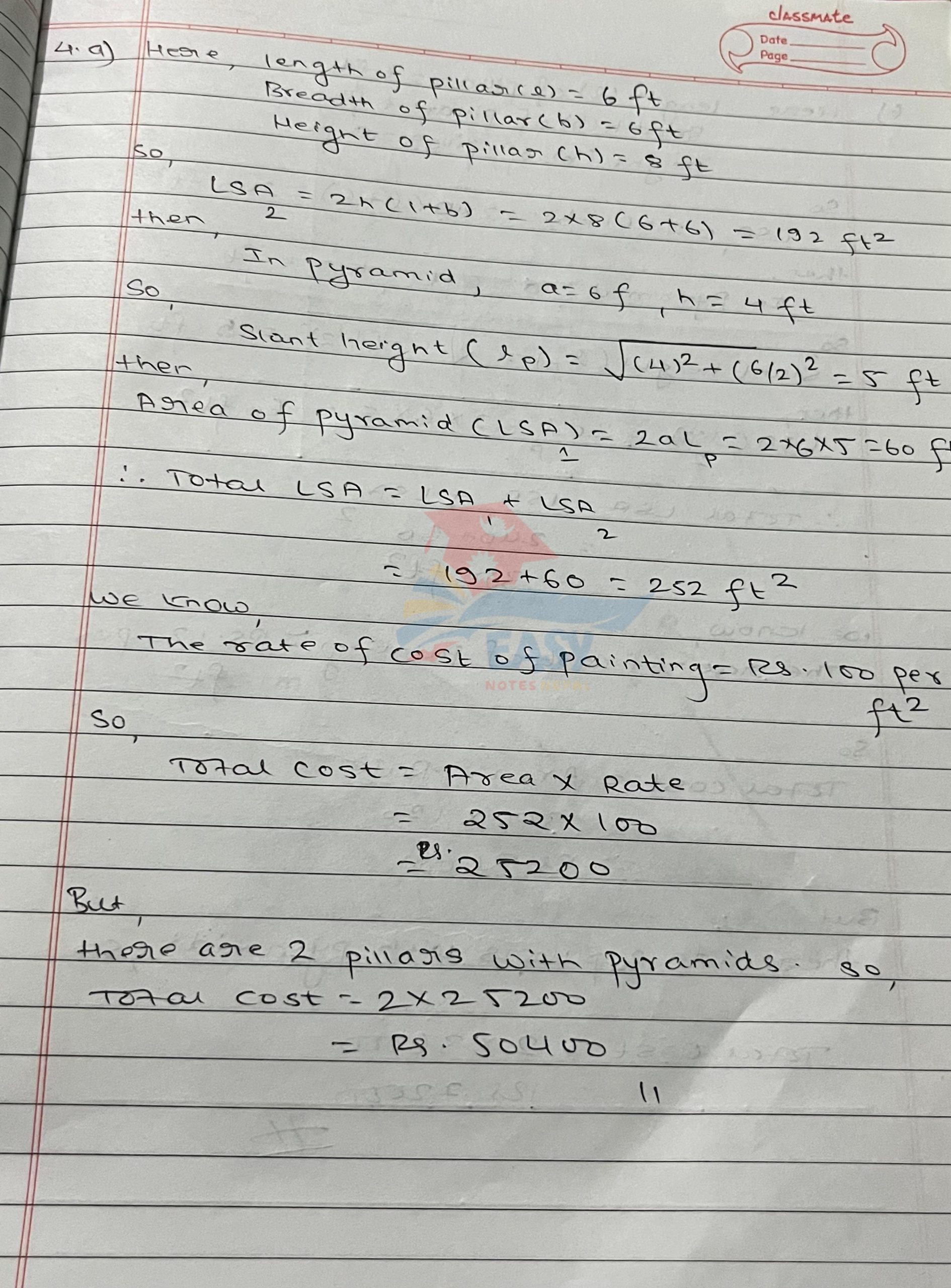
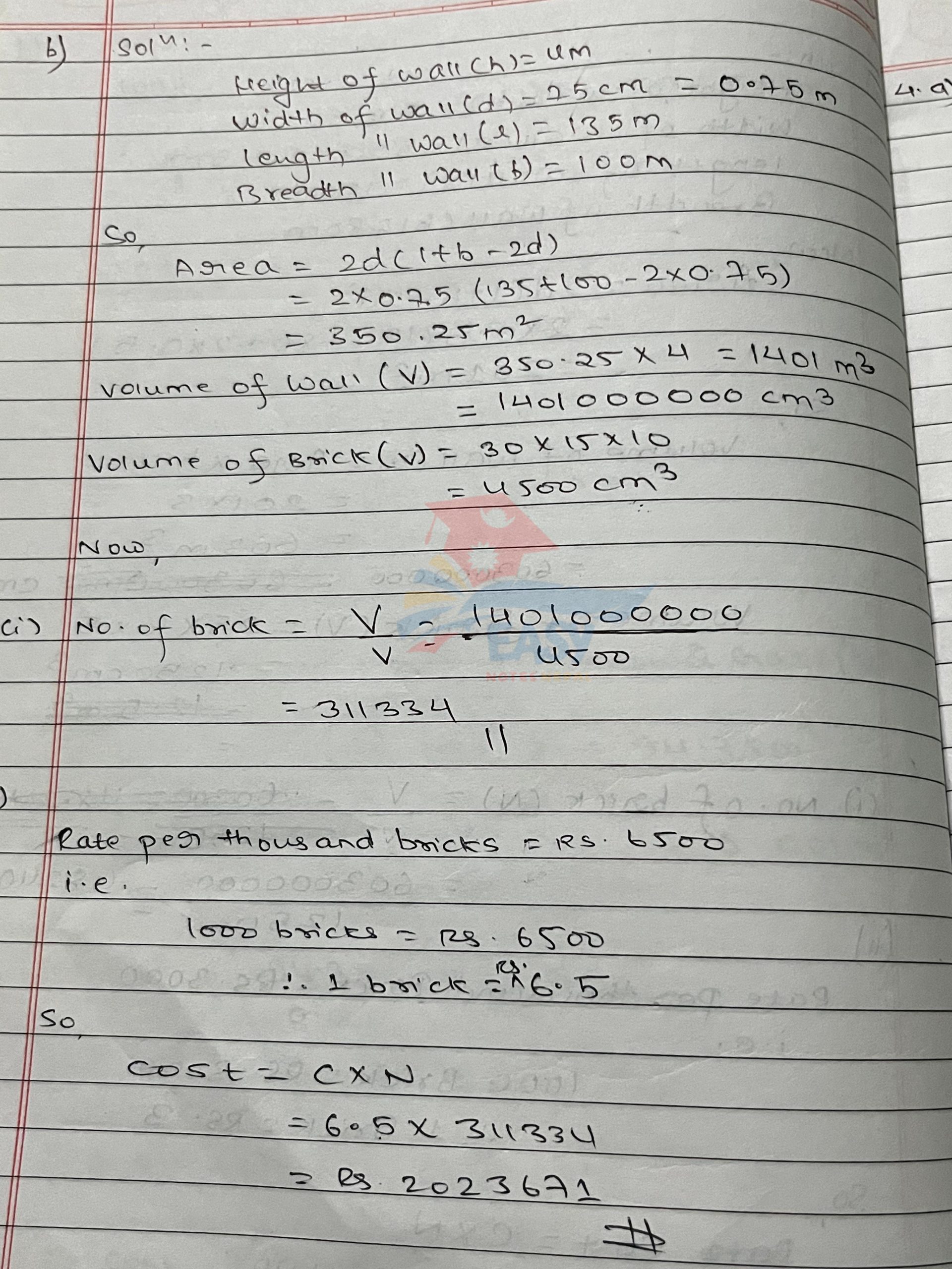
Posted inClass 10 Class 10 Math Class 10 Math Lesson 7 Posted by By Easy Notes Nepal July 26, 2025No Comments Class 10 C.Math Lesson 7 Note #Unit -7 Cost Estimation Easy Notes Nepal View All Posts Post navigation Previous Post Class 10 Math Lesson 6Next PostClass 5 English Lesson 1