Class 10 Math Lesson 2

Class 10 C.Math Lesson 2 Note
#Unit -2  Compound Interest
📘 Class 10 Mathematics – Unit 2: Compound Interest

Compound Interest (CI) is the interest calculated not only on the initial principal but also on the accumulated interest of previous periods. In Unit 2 of Class 10 Mathematics, students learn how to calculate compound interest using formulas and solve related problems involving time and rate.

This chapter is practical and frequently used in banking, finance, and daily life money matters.


🧠 Key Concepts Covered
  • Principal (P): The initial amount invested or borrowed

  • Rate (R): Interest rate per time period (usually annual)

  • Time (T or n): Number of years or periods

  • Amount (A): Total value after interest

  • Compound Interest Formula:

    A=P(1+R100)nA = P \left(1 + \frac{R}{100}\right)^n CI=A−P\text{CI} = A – P

  • Compounding Periods: Yearly, Half-Yearly, Quarterly

  • Conversion of Rate and Time for non-annual compounding

  • Word Problems involving growth or decay using compound interest


📚 Why This Unit Is Important

Compound interest is used in bank savings, loans, business growth, and even population or value appreciation models. This unit helps you understand how money grows over time, which is useful in real life and SEE exams.

It’s also a highly scoring chapter when you understand the formula and learn how to apply it properly.


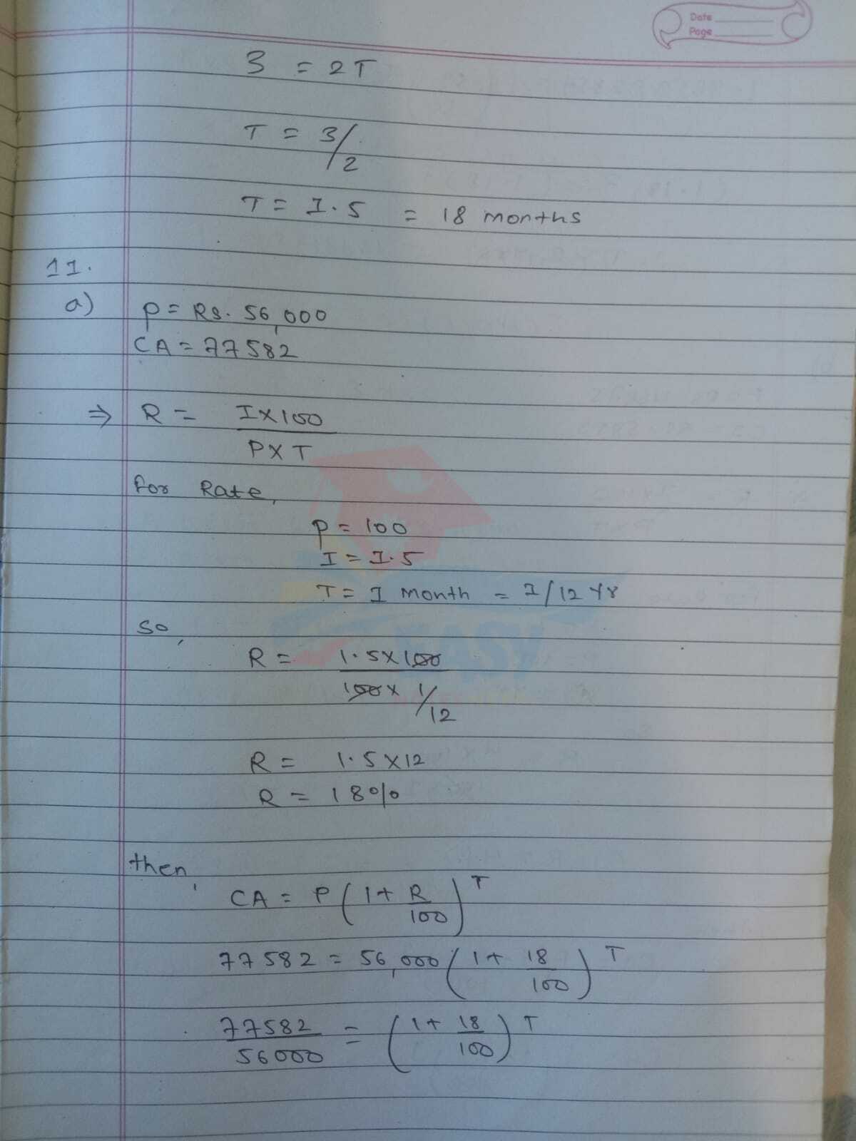
📥 View the Picture Notes

You have the full access to Class 10 Mathematics Unit 2 notes with solved problems, formulas, and step-by-step CI examples.


💡 Exam Tip

Always convert the rate and time correctly for half-yearly or quarterly cases. Carefully subtract the principal from the amount to get the exact CI.

1 Comment

Leave a Reply

Your email address will not be published. Required fields are marked *