Class 10 C.Math Lesson 3 Note
#Unit -3 Growth and Depriciation
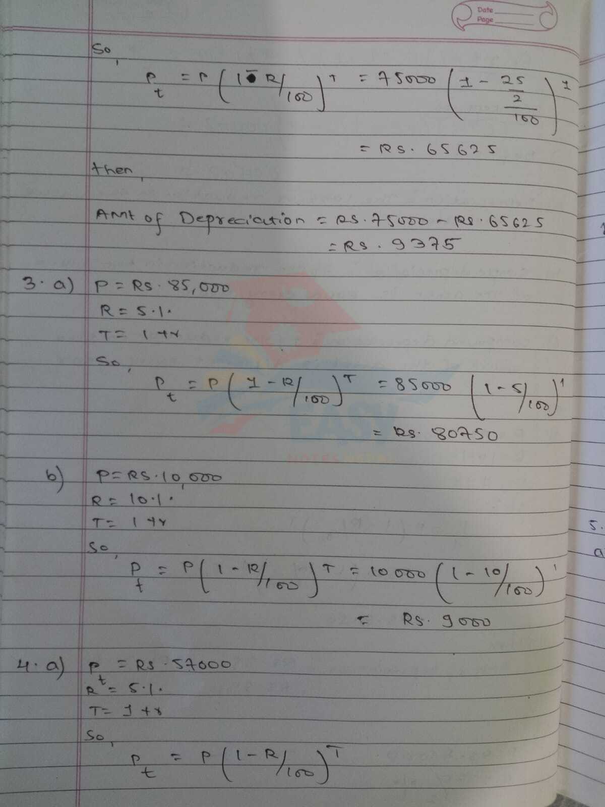
π Class 10 Mathematics β Unit 3: Growth and Depreciation
Growth and Depreciation deal with how the value of an item increases or decreases over time. In Unit 3 of Class 10 Mathematics, students learn how to calculate the increased or decreased value of an object using percentage-based formulas.
This chapter is very useful in real-life situations like population growth, value appreciation of land, or depreciation of vehicles and electronics.
π§ Key Concepts Covered
-
Growth: Increase in quantity over time
-
Depreciation: Decrease in value over time
-
General Formula for Growth:
A=P(1+R100)nA = P \left(1 + \frac{R}{100}\right)^n
-
General Formula for Depreciation:
A=P(1βR100)nA = P \left(1 – \frac{R}{100}\right)^n
Where:
-
AA = final amount (after growth or depreciation)
-
PP = initial amount or value
-
RR = rate of growth/depreciation (%)
-
nn = number of years/time period
-
Word Problems on:
-
Population growth
-
Value of machines or vehicles
-
Price appreciation or depreciation over time
-
π Why This Unit Is Important
This chapter helps you understand real-world economics and make financial decisions, whether you’re dealing with assets, investments, or population trends. It’s also one of the easiest to score full marks in your SEE exams with just formula application and a few steps.
π₯ View or the Picture Notes
You have the access to full Class 10 Mathematics Unit 3 notes with formulas, step-wise solutions, and exam-based questions.
π‘ Exam Tip
Donβt mix up the formulas β growth uses +R100+ \frac{R}{100}, depreciation uses βR100- \frac{R}{100}. Always write the formula first before substituting values to avoid silly mistakes.









































